
【前言】
在时代的洪流中,文化的力量如同璀璨星辰,照亮着社会进步的每一个角落。随着全球经济一体化的深入发展,企业作为社会经济的细胞,其成长与蜕变已不仅仅局限于技术革新与市场拓展,更在于文化内涵的深厚积淀与独特表达。在此背景下,“艺术家走近企业,文化赋能促发展”这一创新模式的提出,无疑为企业的可持续发展注入了新的活力与灵感。
“艺术家走近企业,文化赋能促发展”,这一模式的核心在于通过艺术的桥梁作用,实现文化与企业发展的深度融合。在这个过程中,企业不仅收获了独特的文化标识与品牌形象,更在潜移默化中提升了自身的核心竞争力与可持续发展能力。
我们有理由相信,随着“艺术家走近企业”这一模式的深入实践与推广,将会有越来越多的企业从中受益,实现文化与经济的双赢。让我们携手并进,在这条充满挑战与机遇的道路上,共同书写文化与经济融合发展的新篇章。

毛学校,字敬之,号清斋主人,山东东营市人。系中国书法家协会、中华诗词学会、中国楹联协会会员,国家一级艺术大师,中国书画艺术指导委员会委员,国家智库专家,央媒文化组委会艺术顾问,清华大学美术学院客座教授,英国剑桥艺术学院研究生导师,香港书法家协会副主席、名誉主席,北京世纪名人国际书画院院士,北京京华阁书画院副院长,山东滨州市书协顾问,黄河三角洲书画院常务副院长,山东曲阜鸿儒书画院常务副院长,有诗集《清河集》《清斋诗墨》、书法有《一代大家》毛学校专刊、《一带一路书法名家毛学校》、《建党百年毛学校书法专刋》、《世界艺术鉴赏》中国风毛学校专刋、2022奉献全国两会的《人民艺术代表》专刋,《二十大专刋》,《书画収藏品鉴》,国际福布斯、北京荣宝斋,故宫博物院出版社等编辑出版《毛学校书法艺朮》等80余种作品集。


2019年,中国书协授于"德艺双馨艺术家“,2020年9月经文旅部、外交部批准发行《一带一路国家名片 新时代艺术大师 毛学校 黄永玉 靳尚谊》书画集,在一带一路国家发行。11月,毛学校的两幅书法作品被耶鲁大学英国艺术中心收藏。中国书画职称评定中心等单位授于《人民艺术家》等称号。2021年6月,香港书协主办的《第十三届“京津冀走廊上的明珠"全国书画大赛》中荣获书法“第一名”。2022年3月《人民代表报》《中宣时代报》发表毛学校多幅书法作品。2023年4月两幅参加北京荣宝斋艺术館全国名家邀请展,20幅书法作品参加《水墨巨匠》艺术研究院揭牌议式暨全国书画名家邀请展。6月,中国书法"兰亭奖"评委会授于巜兰亭奖终身成就奖》,中国文联授于《中国书画终身成就奖》。中国文旅部授于“国家文艺泰斗丰碑奖”。9月,河北出版社编辑出版毛学校《高䓁艺术院校书法教学范夲》第二辑。2025年一月,由香港世界文化艺求出版社出版《世界髙䓁艺术院校名师教学案例<毛学校人物卷>》。


毛学校先生在诗词创作上也深有造诣,2008年,入选《第二届华夏诗词奖作品集》。2010年诗词14首入选《齐鲁百年诗词选》。2016年诗词20首入选中华诗词学会主编的《集成》山东卷等。

经过多年的辛勤耕耘,毛学校先生成为国内外知名的艺术大家。欧阳中石先生曾为其书写并特赠《中国艺术大家》牌匾。

诗墨双辉 德艺兼修——毛学校先生的艺术求索之路
在当代中国书画艺术的版图中,毛学校先生以“清斋主人”为号,从黄河三角洲的文化沃土走出,凭借诗、书双绝的修养与德艺兼修的品格,成为业界瞩目的艺术大家。其艺术实践既深植传统文脉,又紧扣时代脉搏,在国内国际舞台上持续传递中国文化的魅力。

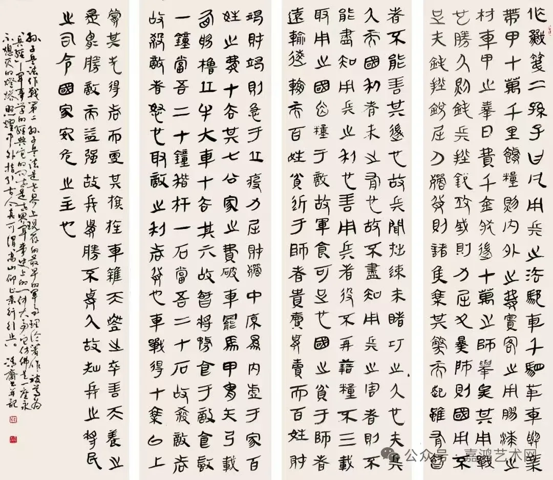
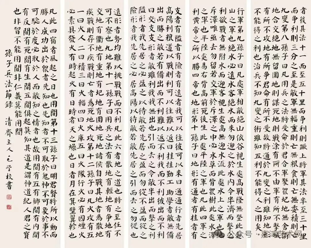
毛学校先生的书法艺术,是传统笔墨精神与个人风格的有机融合。作为中国书法家协会会员,他的创作始终以经典为基,从已出版的《一代大家》《一带一路书法名家毛学校》等80余种作品集可见,楷书端庄中见灵动,行书流畅里藏筋骨,草书则气韵贯通如行云流水。线条的提按转折兼具“力透纸背”的力度与“刚柔相济”的韵味,墨色的浓淡变化随情感起伏,形成独特的视觉韵律。这种风格的形成,与齐鲁文化的滋养密不可分——山东东营的地域基因赋予其作品北方书风的雄浑大气,而文人修养又使其笔墨自带雅致意趣。从荣宝斋全国名家邀请展到《水墨巨匠》艺术研究院揭牌展,他的书法总能以鲜明的个人语言打动观者,印证了“笔墨当随时代”的艺术真理。

诗词造诣是毛学校先生艺术修养的另一支柱。作为中华诗词学会会员,他的创作早在2008年就入选《第二届华夏诗词奖作品集》,此后14首诗词入《齐鲁百年诗词选》、20首入中华诗词学会《集成》,《清河集》《清斋诗墨》两部诗集更是其诗心的集中呈现。这些诗词或咏山水田园,寄托“清斋”主人的淡泊心境;或感怀家国变迁,流露赤子情怀。更难得的是,他将诗词创作与书法实践相融——书写自作诗词时,文字意境与笔墨节奏浑然一体,让书法成为“诗言志”的延伸。这种“诗为书魂、书为诗形”的修养,正是欧阳中石先生为其题写《中国艺术大家》牌匾的深层缘由。

尤为值得一提的是,他在简帛书领域深耕十余年,从先秦简牍的古朴笔法中汲取养分,又融入现代审美对结体与章法创新,让这种古老书体焕发新生。其简帛书作品既保留了竹木简的自然肌理与率真意趣,又以精准的笔墨控制突破局限,成为当代简帛书创作的典范之一。

艺术之外,毛学校先生的“德”与“责”同样鲜明。“德艺双馨艺术家”“人民艺术家”等称号,是对其品格的最佳注解。作为清华大学美术学院客座教授、英国剑桥艺术学院研究生导师,他不仅深耕创作,更致力于传承——《高等艺术院校书法教学范本》的出版,将个人经验转化为惠及后辈的养分。其作品始终与时代同频:从《建党百年书法专刊》到《二十大专刊》,从服务全国两会的《人民艺术代表》到文旅部授予的“国家文艺泰斗丰碑奖”,笔墨始终为时代画像,彰显艺术服务社会的价值。

这种影响力已跨越国界。2020年与黄永玉、靳尚谊一同入选“一带一路”国家发行书画集,作品被耶鲁大学英国艺术中心收藏,让中国笔墨成为国际交流的语言;“香港书法家协会副主席”等身份,则使其成为两岸三地艺术交融的纽带。2025年《世界高等艺术院校名师教学案例》的出版,更标志着其艺术理念获得国际学界认可。

从黄河三角洲到世界舞台,毛学校先生以诗为魂、以书为骨,以德行立身,成就了“兰亭奖终身成就奖”“中国书画终身成就奖”等荣誉加冕的艺术人生。他的实践证明:真正的艺术大家,既要在传统中扎根,也要向时代生长,更要以胸怀担责——这恰是其留给当代艺术界的珍贵启示。











主办:国宾礼书画网
中华人民共和国信息产业部备案号:鲁ICP备19024041号-1